主な機能性
CD(シクロデキストリン) との
違い
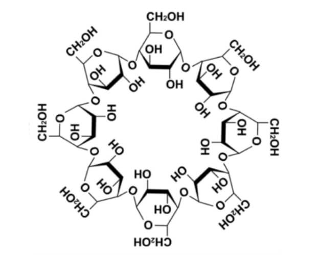
CIはグルコースのα-1,6結合からなる水に溶けやすい環状オリゴ糖です。一方CDは同じグルコースからなる環状オリゴ糖ですが、その結合様式はα-1,4結合で水に溶けにくいことが大きな違いです。分子の立体構造もCIはたらい型、CDはバケツ型と異なります。
-

CI(サイクロデキストラン)
-

CD(シクロデキストリン)
歯垢の形成を抑制する
“お口で働くオリゴ糖”
CDには無いCIだけの特徴が歯垢の形成を抑制することです。歯垢とは食品や口腔内の糖から作られる不溶性グルカンと口腔内細菌の集合体のことで、虫歯や歯周病、口臭の原因となります。
Streptococcus mutansなどの虫歯菌はGTF酵素 (glucosyltransferase) によって不溶性グルカンを合成します。CIはこの酵素の働きをその構造によって阻害し、歯垢の形成を抑制します[1]。つまり、キシリトールなどの「虫歯菌が利用できない糖」とは異なり、CIは虫歯菌が利用できる糖と一緒に摂っても歯垢の形成を抑制することができるオリゴ糖です[2]。

[1] 武笠秀彦 (1997) 『う蝕細菌の分子生物学』 クインテッセンス出版
[2] 特許第5770845号
これまでの主な報告
- In vitroにおいて5 mM CI-8(8糖のCI)を添加することで、S. mutans由来GTF酵素による不溶性グルカン合成量は無添加時と比較して減少 [Kobayashi et al., (1995) Inhibition of Dextran and Mutan Synthesis by Cycloisomaltooligosaccharides. Bioscience, Biotechnology, and Biochemistry. 59 (10): 1861-1865]
- CIを0.1%または0.4%添加した56%スクロース含有う蝕誘発飼料で60日間飼育されたS. mutans感染ラットでは、下顎の総う蝕スコアはCI無添加群と比較していずれの濃度でも有意に抑制 [竹内ら (1996) GTF阻害剤サイクロデキストランのS. mutans感染ラットに対するう蝕抑制効果. 第38回歯科基礎医学会学術大会]
- ヒトにおいて、3日間歯磨きを停止している間、毎食後30秒間CIを含む水溶液で口腔内をすすいだところ、歯垢の付着しやすい群において歯垢指数が有意に低下 [社内試験]
安全性について
- 黒糖に含まれ天然に存在する成分です。 [渡嘉敷ら (2007) 黒糖中の環状イソマルトオリゴ糖の存在について. Journal of Applied Glycoscience. 54(1): 27-30]
- マウスによる経口単回投与毒性試験および経口反復投与毒性試験(12週間)を実施
- ラットによる経口単回投与毒性試験および亜急性毒性試験を実施
- ヒトによる1日2 gまたは4 gの連続摂取試験(4週間)を実施
- アレルゲン試験実施済み(卵、乳、小麦、そば、落花生)
- 染色体異常誘発性は陰性
- 遺伝子突然変異誘発性は陰性
特許一覧
| No. | 名称 | 出願日 | 出願番号 | 登録日 | 登録番号 | 関連レポート |
|---|---|---|---|---|---|---|
| 003 | バイオフィルム除去剤 | 2023.3.29 | 2023-53169 | |||
| 002 | う蝕抑制組成物、並びにこれを用いた甘味組成物、食品、サプリメント、歯磨剤組成物、及び洗口液組成物 | 2024.3.19 | 2025-025665 | 2025.2.25 | 7640771 | |
| 001 | Porphyromonas gulae由来サイトカイン産生抑制組成物、犬又は猫用のオーラルケア組成物、歯周病予防剤、口腔内バイオフィルム形成阻害剤、抗炎症剤及び口臭抑制剤 | 2023.8.10 | 2024-192554 | 2024.11.15 | 7588928 |
